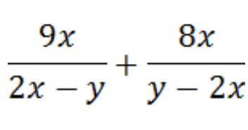
Знайдіть суму. Розв'язання зробіть в зошиті, фото прикріпіть до цієї роботи . срочно
Приложения:
                     
                            Ответы
                                            Ответ дал: 
                                                                                    
                                        
                                            
                                                
                                                
                                                
                                                    1
                                                
                                            
                                        
                                    Ответ:
решение смотри на фотографии
Приложения:
                     
                            
                                            Ответ дал: 
                                                                                    
                                        
                                            
                                                
                                                
                                                
                                                    1
                                                
                                            
                                        
                                    Ответ:
Чтобы сложить дроби, надо привести их к общему знаменателю .
Вас заинтересует
                
                        2 года назад
                    
                
                        2 года назад
                    
                
                        2 года назад
                    
                
                        7 лет назад