• Предмет: Геометрия
  • Автор: zadvornasofia06
  • Вопрос задан 3 года назад

Допоможіть будь ласка!!! Дам 38балів!​

Приложения:

Ответы

Ответ дал: matvik03072006
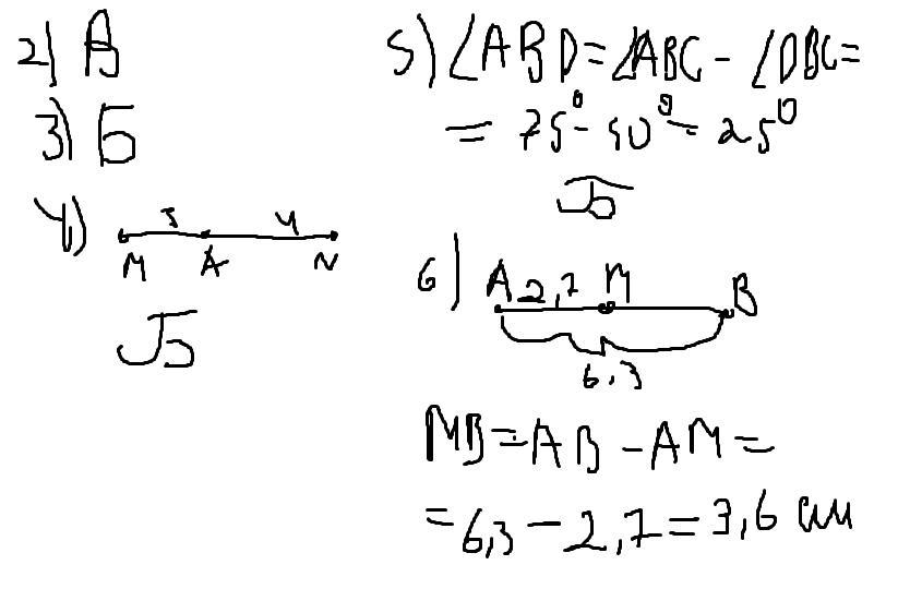
1

Ответ:

a

Объяснение:

aaaaaaaaaaaaaaaaaaaaaaaaaaaaaaaaaaaaaa

Приложения:

zadvornasofia06: дякую
Вас заинтересует