• Предмет: Алгебра
  • Автор: danilden2407
  • Вопрос задан 3 года назад

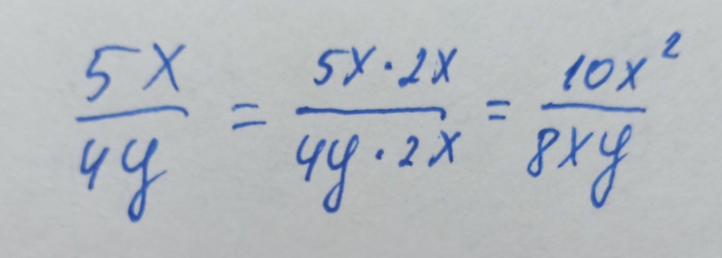
Зведіть дріб 5х/4у до знаменника 8ху

Ответы

Ответ дал: maksimkov0728
1

Ответ:

тут все просто, накинь пж лучший ответ

Приложения:

danilden2407: Пасибо
Вас заинтересует