Ответы
Ответ дал:
0
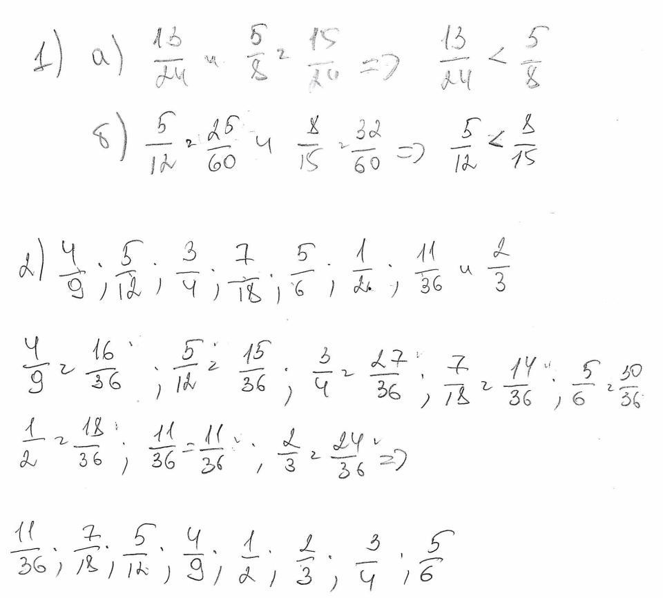
1.а)5/8; б)8/15.
2.1/2; 2/3; 3/4; 5/6; 4/9; 5/12; 7/18; 11/36.
Ответ дал:
0
Ответ:
ответ во вложении
Пошаговое объяснение:
Приложения:

Вас заинтересует
2 года назад
2 года назад
2 года назад
2 года назад
7 лет назад
7 лет назад
9 лет назад