• Предмет: Алгебра
  • Автор: tattihouse177
  • Вопрос задан 3 года назад

пж помогите.........​

Приложения:

Ответы

Ответ дал: parus77
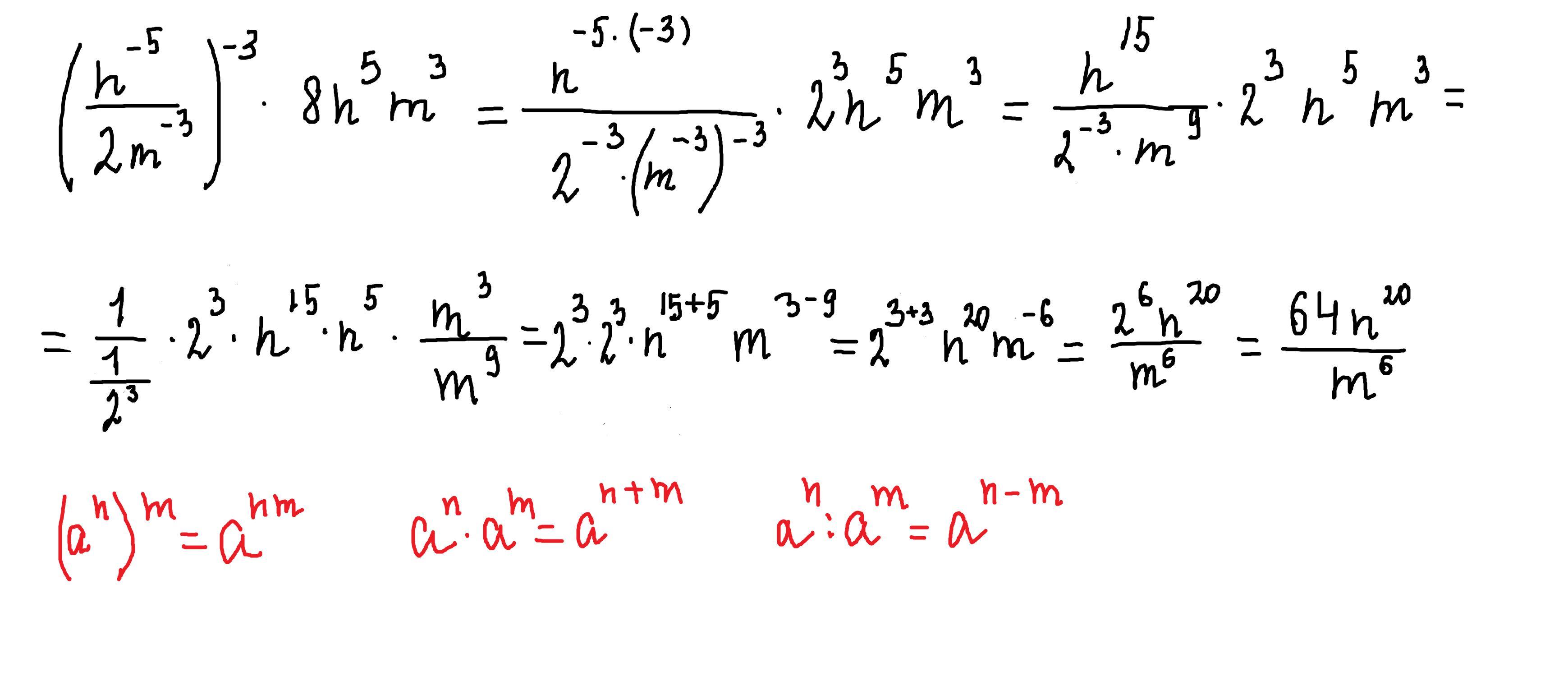
1

Ответ:

Объяснение:

решение внизу

Приложения:
Вас заинтересует