• Предмет: Алгебра
  • Автор: ischenkoyulia825
  • Вопрос задан 3 года назад

СРОЧНО ДОПОМОЖІТЬ БУДЬ ЛАСКА
ДАЮ 50 БАЛІВ
8 клас
ФОТО Є​

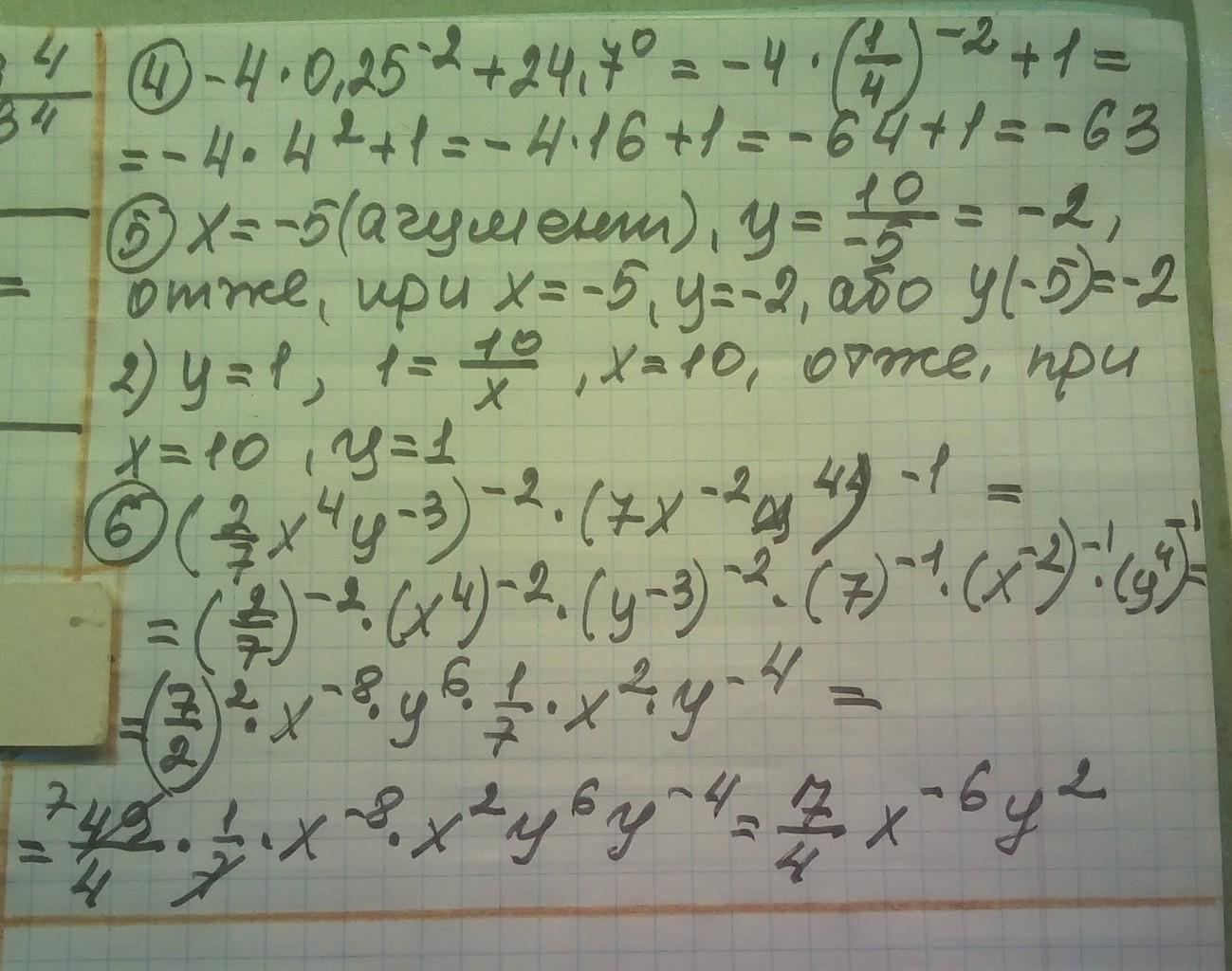
Приложения:

Ответы

Ответ дал: manyny06
1

Ответ:

решение смотри на фотографии

Приложения:
Вас заинтересует