• Предмет: Математика
  • Автор: artemamidov755
  • Вопрос задан 3 года назад

Помогите с математикой​

Приложения:

Ответы

Ответ дал: 0kubkoviiiizi
0

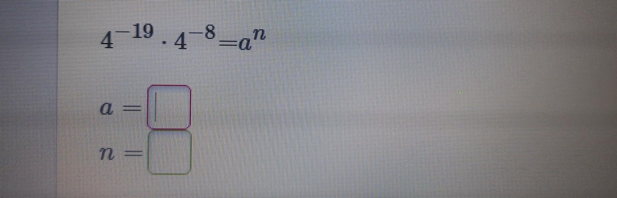
Ответ:

4 в -27 степени

Пошаговое объяснение:

-19+(-8)=-27


artemamidov755: а что a а что n
0kubkoviiiizi: Я же сказал 4 в минус 27 степени а это 4 а n это -27
Вас заинтересует