• Предмет: Алгебра
  • Автор: 2joni00dragon5
  • Вопрос задан 3 года назад

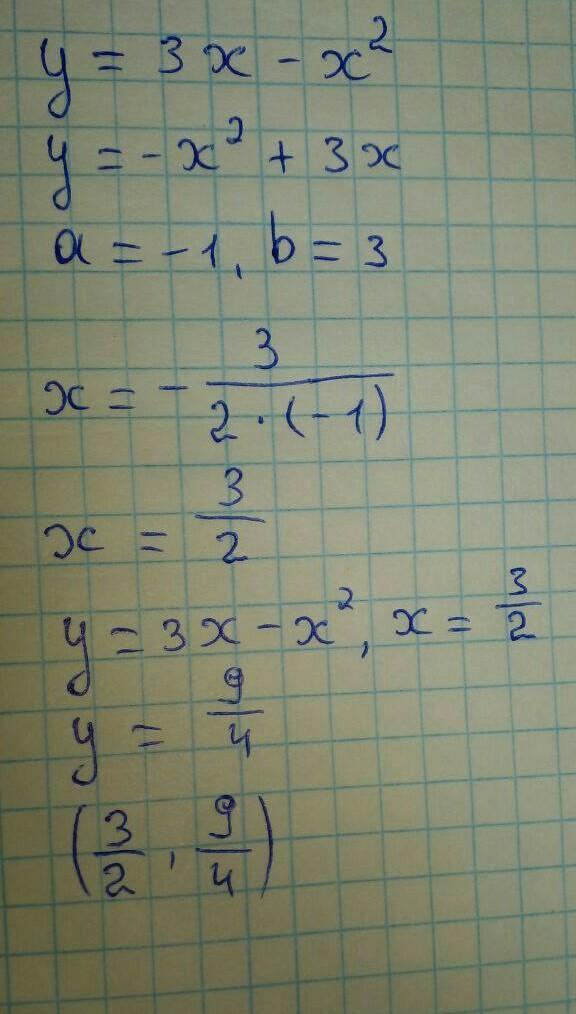
Найдите область определения и область значения y=3x-x^2

Ответы

Ответ дал: conguk261
1

Ответ:

......................

Объяснение:

.........................

Приложения:
Вас заинтересует