• Предмет: Алгебра
  • Автор: klimenkosofa8610
  • Вопрос задан 3 года назад

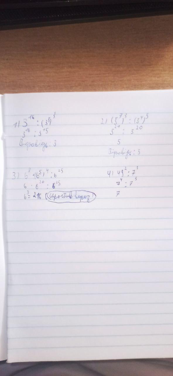
Допоможіть будь ласка зробити номер з фото 1,2,3,4. Дуже терміново потрібно

Дам 20 балів

Приложения:

Ответы

Ответ дал: aarr04594
2

Відповідь: фото

Пояснення:

Приложения:

klimenkosofa8610: Дякую велике
Ответ дал: trsh632jn
1

Відповідь: відповідь на фото( надеюсь ты поймёшь мой подчерк)

Пояснення:1) 3
2)5
3)6^3=216
4)7

Приложения:

klimenkosofa8610: Дякую велике за допомогу
Вас заинтересует