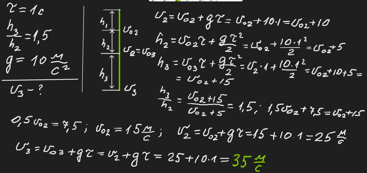
За останню секунду вільного падіння тіло пройшло шлях у 1,5 раз бiльший, ніж за попередню. Визначте швидкість тіла в момент падіння на землю. Вважайте g=10 м/с². Хочу звiрити вiдповiдi.
Ответы
Ответ дал:
0
Відповідь: 35 м/с
Пояснення:
Приложения:

Вас заинтересует
2 года назад
2 года назад
7 лет назад
7 лет назад