• Предмет: Алгебра
  • Автор: vaoaiaoao
  • Вопрос задан 3 года назад

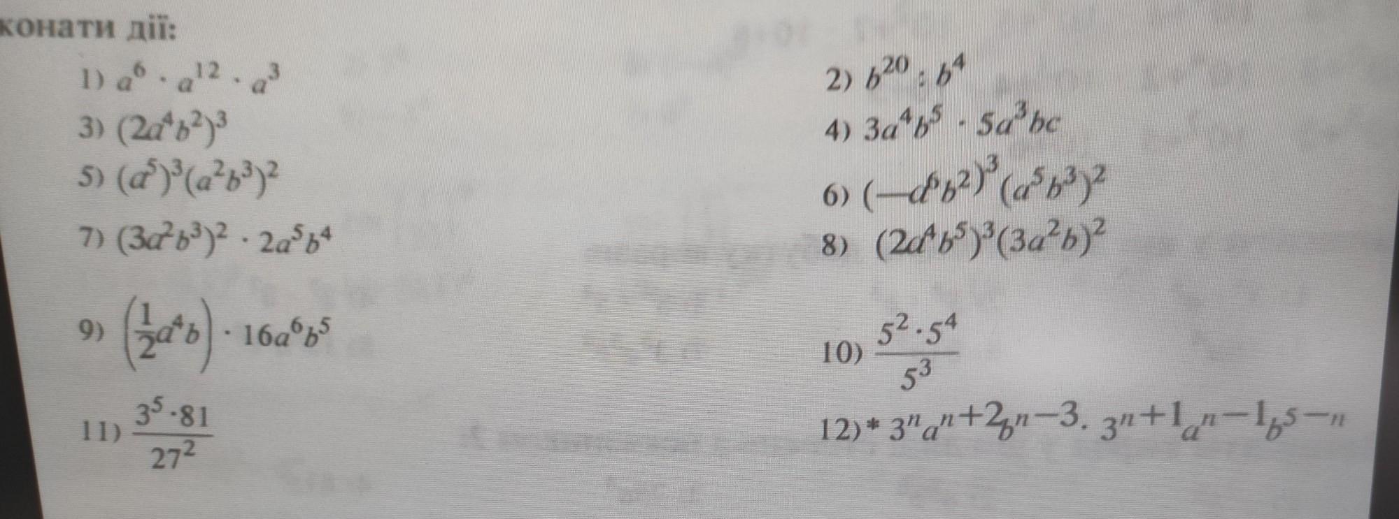
СРОЧНО!!!!!! ОТДАМ ВСЁ, ЧТО ЕСТЬ​

Приложения:

Ответы

Ответ дал: mitia2010
0
Написал по привычке не номера, а буквы, но ответы правильные
Приложения:
Вас заинтересует