ПОМОГИТЕ СРОЧНО ДАЮ 100 БАЛОВ
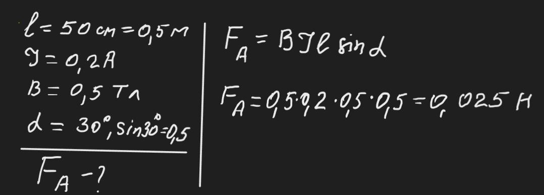
У прямолінійному провіднику завдовжки 50 см проходить струм силою 0,2 А. Провідник розташований в однорідному магнітному полі індукцією 0,5 Тл. Визначити значення сили Ампера, що діє на провідник зі струмом, який знаходиться в магнітному полі, якщо кут між вектором магнітної індукції і напрямком струму α=30°
Sin 30°=....
Ответы
Ответ дал:
0
Відповідь: 25 мН
Пояснення:
Приложения:

Вас заинтересует
2 года назад
2 года назад
7 лет назад
7 лет назад
9 лет назад