• Предмет: Физика
  • Автор: veronikamoskalenko07
  • Вопрос задан 3 года назад

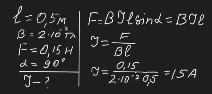
на провідник довжиною 0,5м. перпендикулярно до ліній магнітного поля індукцією 2*10-2Тл діє сила 0,15Н.Яка сила струму тиче в провіднику? срочно,даю 90 балов

Ответы

Ответ дал: zybkov1950
1

Відповідь: 15 А

Пояснення:

Приложения:
Вас заинтересует