• Предмет: Физика
  • Автор: Hollaender
  • Вопрос задан 3 года назад

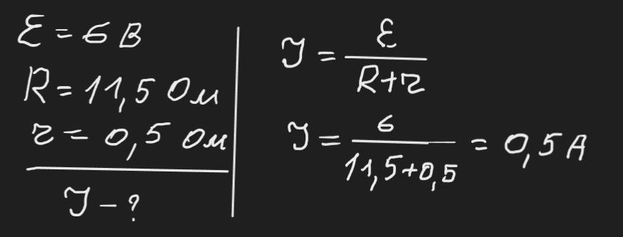
Електрорушійна сила батареї 6 В. Зовнішній опір кола 11,5 О., а внутрішній 0,5 Ом. Визначити силу струму в колі. (Відповідь запишіть числом в амперах)

Буду весьма признателен, если решите срочно.

Ответы

Ответ дал: zybkov1950
3

Відповідь: 0,5 А

Пояснення:

Приложения:

Hollaender: Премного благодарен, Ваша услуга неоценима.
Вас заинтересует