Ответы
Ответ дал:
1
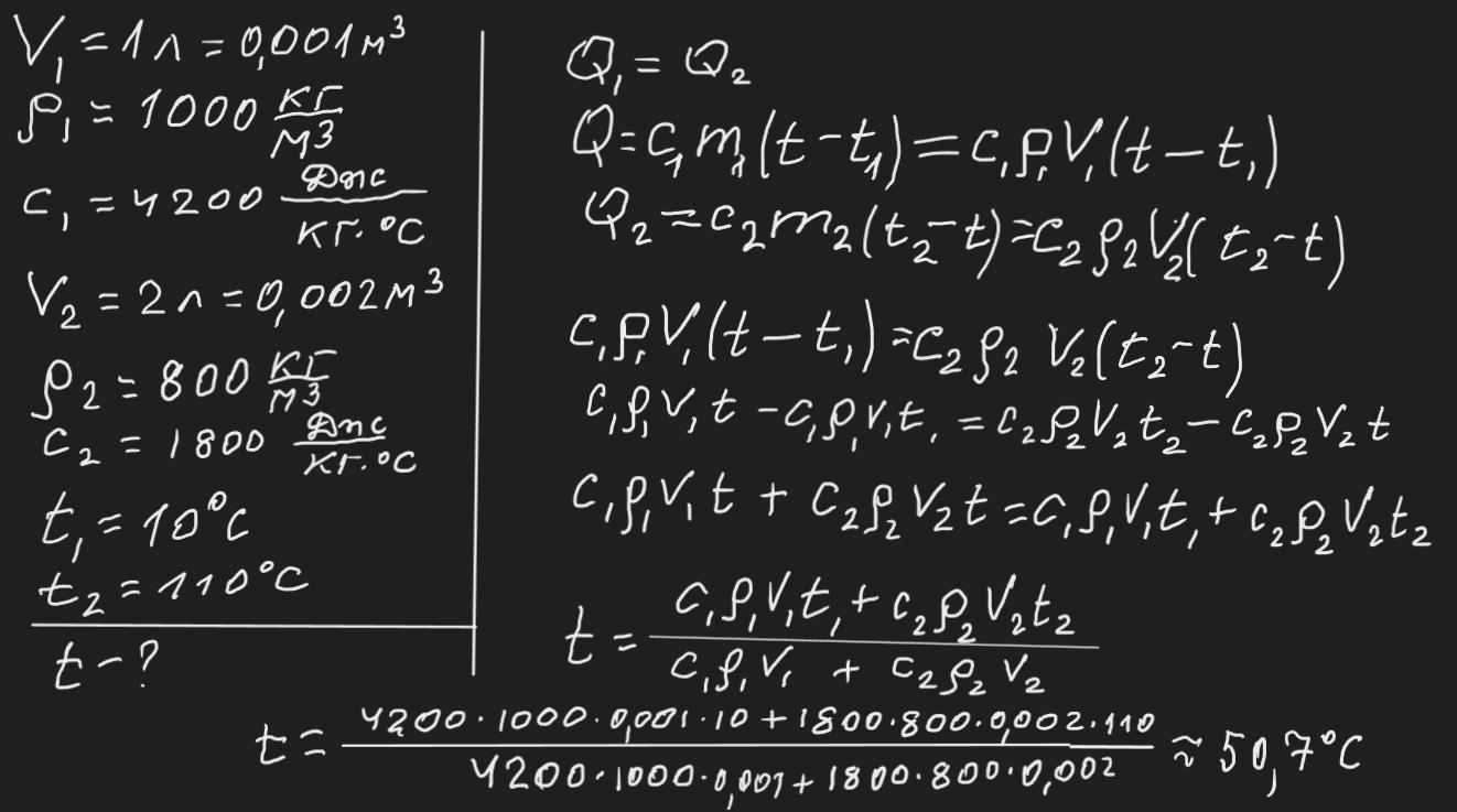
Відповідь: 50,7 ⁰С
Пояснення:
Приложения:

v3000:
Zubkov посмотрите пожалуйста мой вопрос по физике 50баллов и лучший ответ
Вас заинтересует
2 года назад
2 года назад
2 года назад
7 лет назад
9 лет назад