• Предмет: Физика
  • Автор: hmihail2099
  • Вопрос задан 3 года назад

Даю 50б. Распишите с решением

Приложения:

Ответы

Ответ дал: zybkov1950
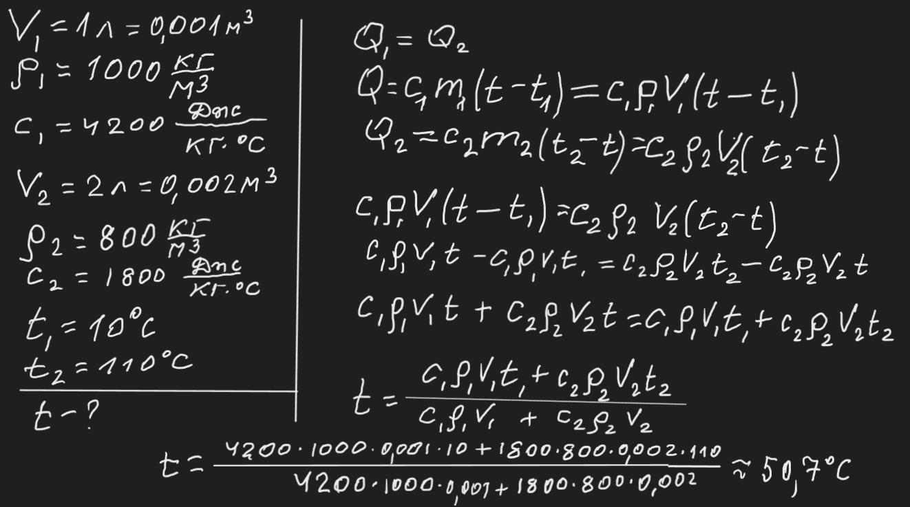
1

Відповідь: 50,7 ⁰С

Пояснення:

Приложения:
Вас заинтересует