• Предмет: Математика
  • Автор: goncara873
  • Вопрос задан 3 года назад

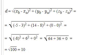
1. Визначити відстань між точками A(3:8); B(-5;14) ​

Ответы

Ответ дал: akumaqqqqqert212
1

Ответ:

Пошаговое объяснение:

Приложения:
Вас заинтересует