Ответы
Ответ дал:
0
Ответ:
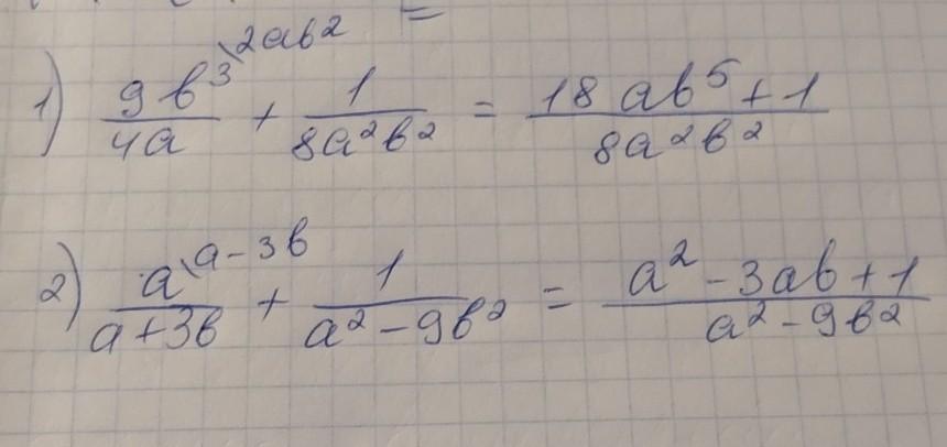
на фото..............
Приложения:

parus77:
а кто вас просит прибавлять вторую дробь?так не приводят к новому знаменателю.
Ответ дал:
0
Ответ:
Объяснение:
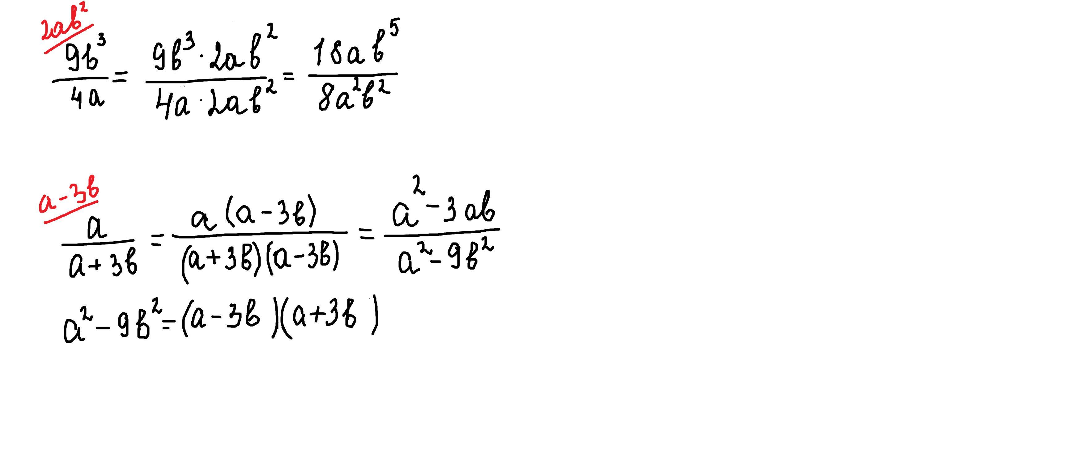
решение внизу
Приложения:

Вас заинтересует
2 года назад
2 года назад
2 года назад
7 лет назад
7 лет назад
9 лет назад