Ответы
Ответ дал:
0
Ответ:
Объяснение:
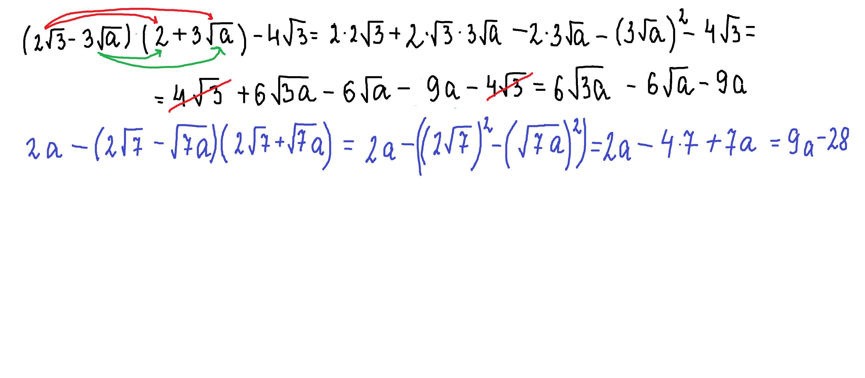
решение внизу
во 2 применяем формулу (а-в)(а+в)=а²-в²
Приложения:

Вас заинтересует
2 года назад
2 года назад
2 года назад
2 года назад
7 лет назад
7 лет назад
9 лет назад
9 лет назад