• Предмет: Алгебра
  • Автор: barkala76
  • Вопрос задан 3 года назад

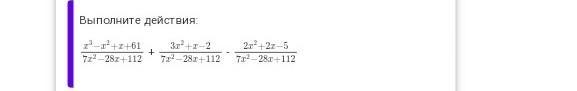
помогите с алгеброй пожалуйста​

Приложения:

Ответы

Ответ дал: erkenazkaken
0

пьпьплплплплплплплплщпшп

Вас заинтересует