Помогите решить эти 3примера
всё на фото
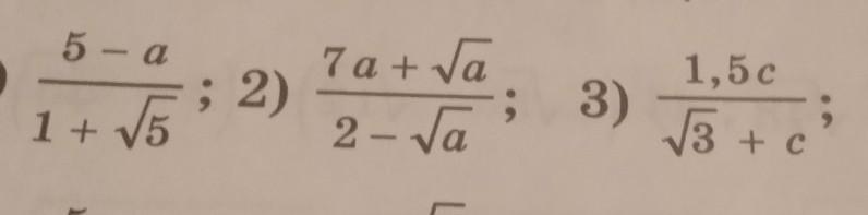
задние 4.16Освоюодите от иррациональности в знаменателе дроби
Приложения:

Ответы
Ответ дал:
0
Ответ:
,.,.,.,.,.,.,.,.,.,.,.,,.,.,..,.,.,,.,.,.,.,.
Приложения:

Вас заинтересует
2 года назад
2 года назад
2 года назад
2 года назад
7 лет назад
9 лет назад
9 лет назад