• Предмет: Алгебра
  • Автор: kopy4inka
  • Вопрос задан 3 года назад

ПРОШУ ОЧЕНЬ СРОЧНО НАДО УМОЛЯЮ!!!!!

Приложения:

Ответы

Ответ дал: parus77
0

Ответ:

Объяснение:

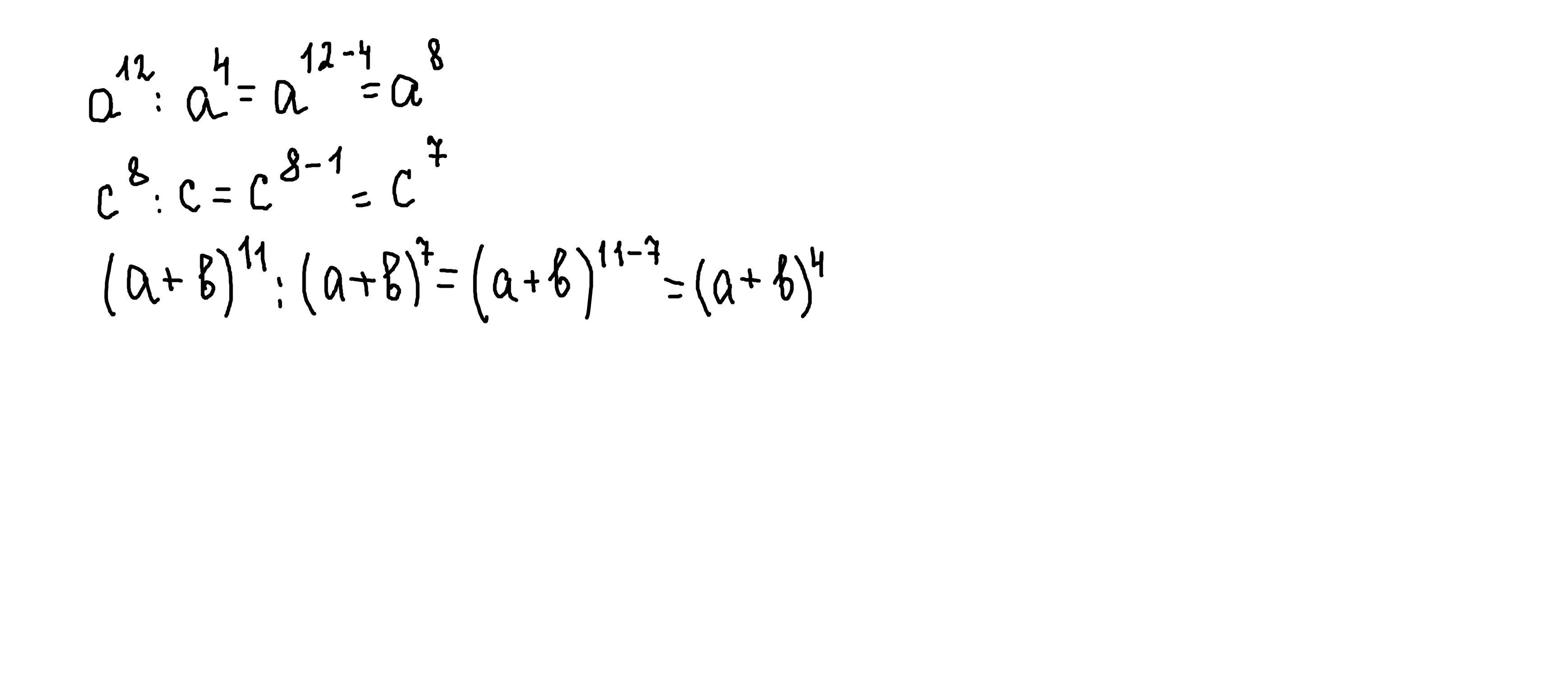
при делении степеней с одинаковым основанием показатели ВЫЧИТАЮТСЯ

Приложения:
Вас заинтересует