Ответы
Ответ дал:
1
Ответ:
.....вот..,.........
Приложения:


Ответ дал:
1
Ответ:
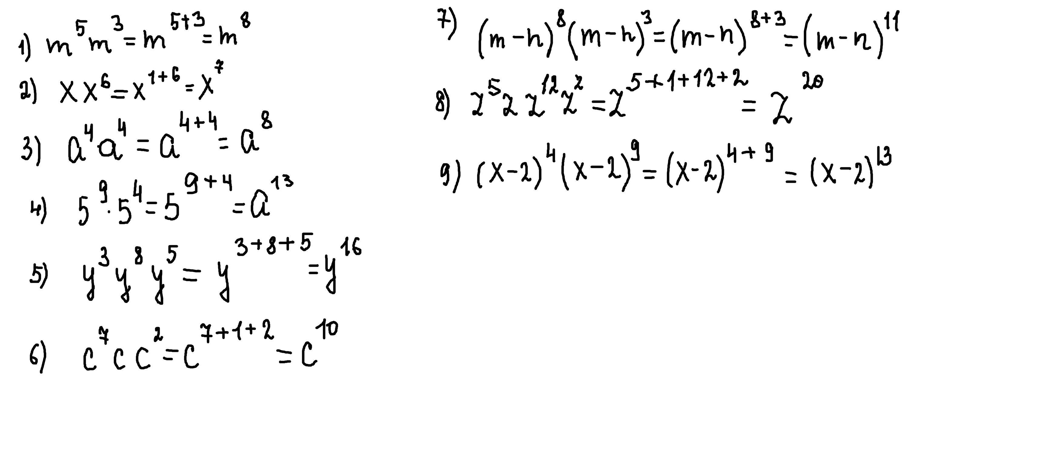
Объяснение:
при умножении степеней с одинаковым основанием ПОКАЗАТЕЛИ СКЛАДЫВАЮТСЯ
Приложения:

Вас заинтересует
2 года назад
2 года назад
2 года назад
2 года назад
7 лет назад
7 лет назад