4. a) Найдите обратную функцию для функции f(x)=ax+2/x+b с полученными значениями переменных a и b.
b) Как будет расположен график обратной функции относительно первоначальной?
Ответы
Ответ дал:
6
Ответ:
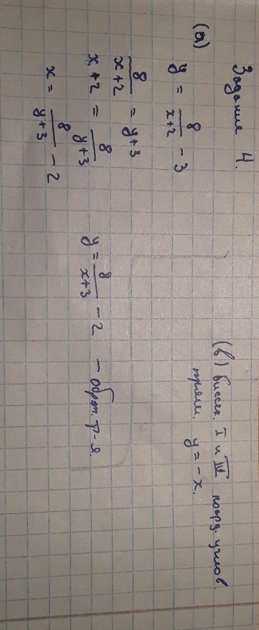
Всё выполнено на листочке.
Объяснение:
Удачи!
Приложения:

Xthins:
в) Графики симметричны относительно биссектрисы l и lV коорд. углов., прям у=-х.
Ответ дал:
1
Ответ:
А. функ. равна -3 а период 4 и 2
в)( 1 и 4
Объявления:
жилаю удачи
Вас заинтересует
2 года назад
2 года назад
2 года назад
7 лет назад
7 лет назад