Ответы
Ответ дал:
1
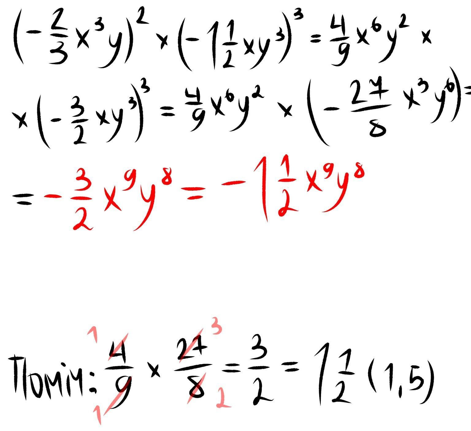
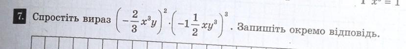
вирішення (спрощення) та відповідь на малюнку.
Приложения:

olyaxvibe:
дякуююю❤️
Вас заинтересует
2 года назад
2 года назад
2 года назад
2 года назад
7 лет назад
7 лет назад
9 лет назад