• Предмет: Алгебра
  • Автор: nastymi33
  • Вопрос задан 3 года назад

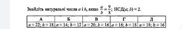
написати букву і розв'язати.​

Приложения:

Ответы

Ответ дал: fedechko2006
0

Ответ:

д

Объяснение:

а= 18

б= 16

тому, шо 18/16=9/8

Ответ дал: ludmilaksenija2005
0

Ответ:

Д

Объяснение:

НСД=2

а/b=9/8=9×2/8×2

a=9×2=18

b=8×2=16

ответ: Д


nastymi33: Помогите пожалуйста
Вас заинтересует