• Предмет: Физика
  • Автор: gvc8gkpcvg
  • Вопрос задан 3 года назад


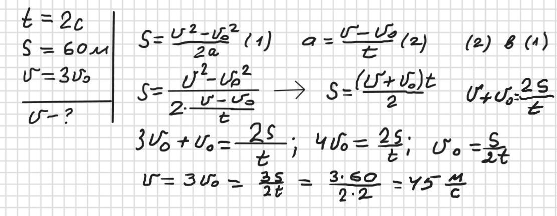
Рухаючись рівноприскорено, автомобіль за 2 с пройшов 60 м та збільшив свою
ШВИДКІСТЬ УТричі. Знайдіть кінцеву швидкість автомобіля на цій ділянці шляху.

Ответы

Ответ дал: zybkov1950
2

Відповідь: 45 м/с

Пояснення:

Приложения:

dbhshdsh26: Помоги !!! Пожалуйста!!!Посмотри в моих вопросах
Ответ дал: dyexfnf
1

Ответ: 45 м/с

Объяснение:

Дано:

S = 60 м

t = 2 c

Найти: V₀ - ?

V = V₀ + at   де a - прискорення, t - час, V₀  - початкова швидкість

згідно умови швидкість збільшена утричі тобто V = 3V₁

V₀ + at = 3V₀⇒   at= 2V₀  ⇒  a = 2V₀/t підставимо в формулу

S = V₀t + 0,5 * 2V₀/t * t²

S = V₀t + V₀t

S = 2V₀t  ⇒V₀ = 0,5S : t = 05 * 60 : 2 = 15 м/с

V = 3V₀ = 3 * 15 = 45 м/с  кінцевa швидкість автомобіля на цій ділянці шляху

Вас заинтересует