• Предмет: Алгебра
  • Автор: mistikmen12
  • Вопрос задан 3 года назад

ПОМОГИТЕ СРОЧНО!!
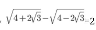
Доказать, что:

Приложения:

Ответы

Ответ дал: 121221211221s
0

Відповідь:легко

Пояснення:

√4+2√3-√4-2√3=2√(1+√3)

√(1+√3)²-√(1-√3)²-2

1+√3-(√3-1)=2

1+√3-√3+1=2

2=2

Вас заинтересует