• Предмет: Алгебра
  • Автор: milana24652
  • Вопрос задан 3 года назад

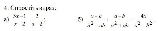
спростіть вирази
терміново дам 30 балів ​

Приложения:

Ответы

Ответ дал: anastasiaburaga88
0

Ответ: на фото прикріпила відповідь

Объяснение:

Приложения:
Вас заинтересует