• Предмет: Алгебра
  • Автор: sswytq
  • Вопрос задан 3 года назад

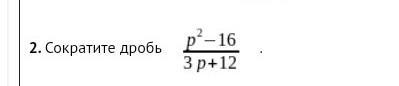
Можно пожалуйста подробное решение. ​Срочно!!!

Приложения:

Ответы

Ответ дал: tarasgyska
0

 \frac{ {p}^{2}  - 16}{3p - 12}  =  \frac{(p - 4)(p + 4)}{3(p - 4)}  =  \frac{p + 4}{3}

Ответ дал: djsjkskejd
0
(р-4)•(р+4)
——————
3(р+4)


Ответ

р-4
——
3
Вас заинтересует