• Предмет: Математика
  • Автор: romabond2006
  • Вопрос задан 3 года назад

Допоможіть зробити самостійну роботу з математики ​

Приложения:

Ответы

Ответ дал: Balabuh
1

Ответ:

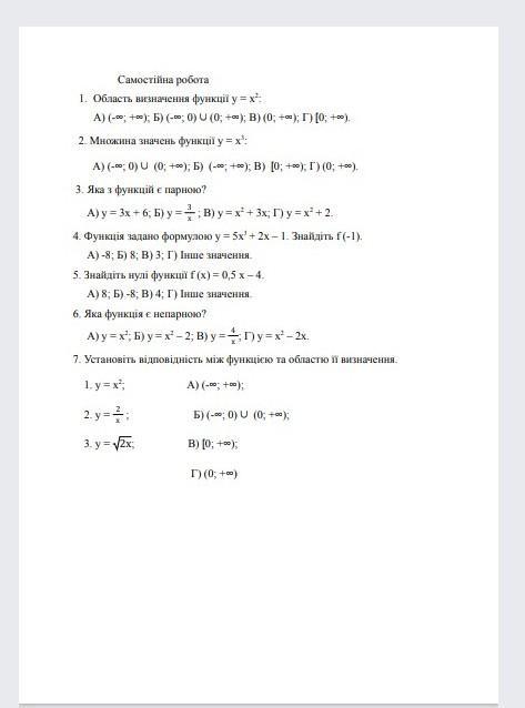
1.A) (-∞;+∞);

2.Б) [0;+∞);

3.По визначенню функцiя парна, якщо f(x)=f(-x),тому Г) y=x²;

4.f(-1)=5*(-1)²+2*(-1)-1=2 Г) iнше значення;

5. 0,5x-4=0⇒x=8 А)8;

6.В) y=4/x

7. 1)-A) (-∞;+∞)

   2)-Б) (-∞;0)∪(0;+∞)

    3)-В) [0;+∞)

Пошаговое объяснение:

Вас заинтересует