• Предмет: Алгебра
  • Автор: afukovvlad
  • Вопрос задан 3 года назад

Помогите Срочно! Даю 20 балов

Приложения:

afukovvlad: желательно с открытым решением

Ответы

Ответ дал: ildar502020
1

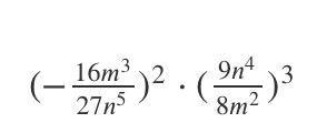
Ответ:  1/2 n².

Объяснение:

(-(16m³)/(27n⁵))² * ((9n⁴)/(8m²))³=(-16/27)²(m³/n⁵)² * (9/8)³*(n⁴/m²)³=

=256/729m⁶/n¹⁰ * 729/512n¹²/m⁶ = 1/2 n².

Вас заинтересует