• Предмет: Алгебра
  • Автор: golubjka
  • Вопрос задан 3 года назад

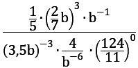
Задание 2.

Задано значение b=0, 00005 и алгебраическое выражение:

2 baza.png

а) запишите число b в стандартном виде (5 баллов);

б) упростите алгебраическое выражение (18 баллов);

в) вычислите значение выражения при заданном значении b (6 баллов).

Приложения:

Ответы

Ответ дал: hendystrous
22

Буду благодарен за 5 звёзд и высокий балл, всем удачи

Приложения:

nonamekakoyta: спасибо!
hendystrous: рад помочь)
cheburashkat: Прощу прощения, а в ответе все задания стразу (а,б,в) ?
cheburashkat: В одном примере?
hendystrous: добрый вечер, да так и есть
cheburashkat: Поняла, спасибо
alaska14: А б в стандартном виде какое ?
glo90323: СПАСИБО ОГРОМНОЕ
Вас заинтересует