• Предмет: Геометрия
  • Автор: plastelink
  • Вопрос задан 3 года назад

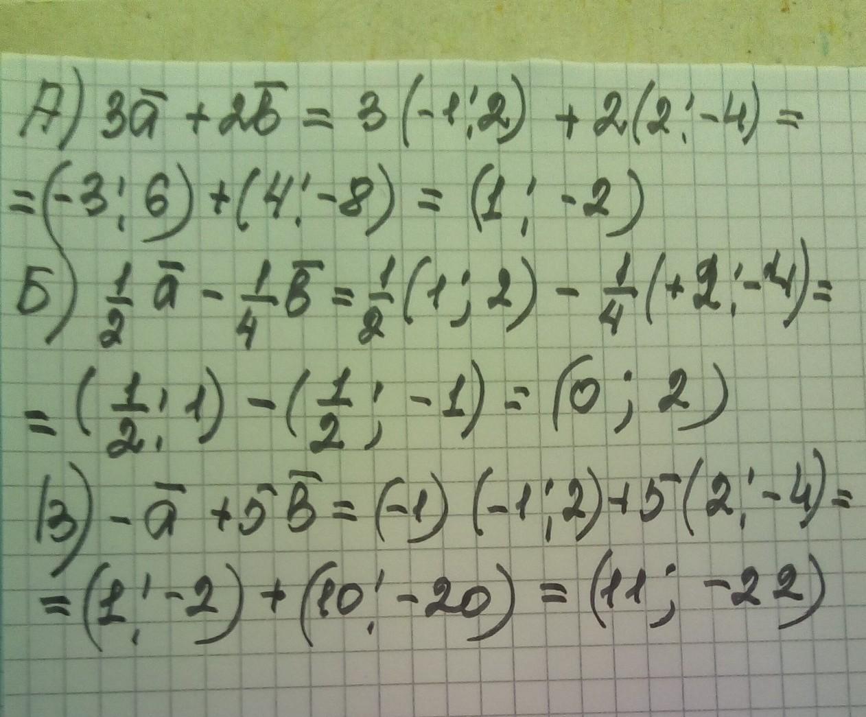
Даны векторы ā(-1; 2) и b(2; -4)
Найдите координаты вектора:
А) 3а + 2b; Б) 1/2а - 1/4b; В) -а + 5b

ответ с объяснением, пожалуйста ​

Приложения:

Ответы

Ответ дал: manyny06
1

Ответ:

решение смотри на фотографии

Приложения:

plastelink: спасибо!
Вас заинтересует