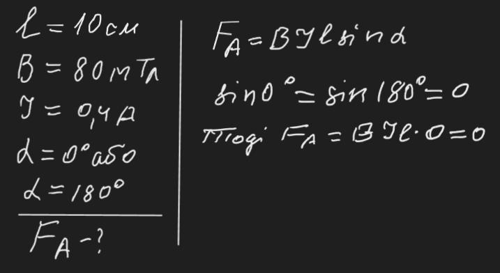
СРОЧНО!!!!!!!! Провідник довжиною 10 см знаходиться в магнітному полі з індукцією 80 мТл. Сила струму в провіднику 0,4 А. Знайти значення сили Ампера, що діє на провідник, якщо провідник розташований вздовж ліній магнітної індукції.
Ответы
Ответ дал:
1
Відповідь: 0 (сила не діє)
Пояснення:
Приложения:

Вас заинтересует
2 года назад
2 года назад
2 года назад
7 лет назад
7 лет назад
9 лет назад
9 лет назад