• Предмет: Алгебра
  • Автор: samozvar
  • Вопрос задан 3 года назад

Помогите прошу пример алгебра 8кл

Приложения:

antvsemizvestniy: напиши, пожалуйста в комент задание, а тто не видно...(

Ответы

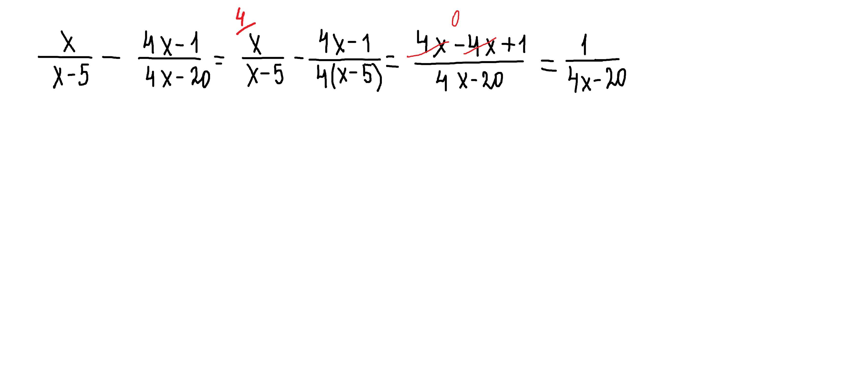
Ответ дал: parus77
1

Ответ:

Объяснение:

решение внизу

Приложения:

samozvar: Спасибо за ответ.
Вас заинтересует