• Предмет: Алгебра
  • Автор: zheniakarpenko755
  • Вопрос задан 3 года назад

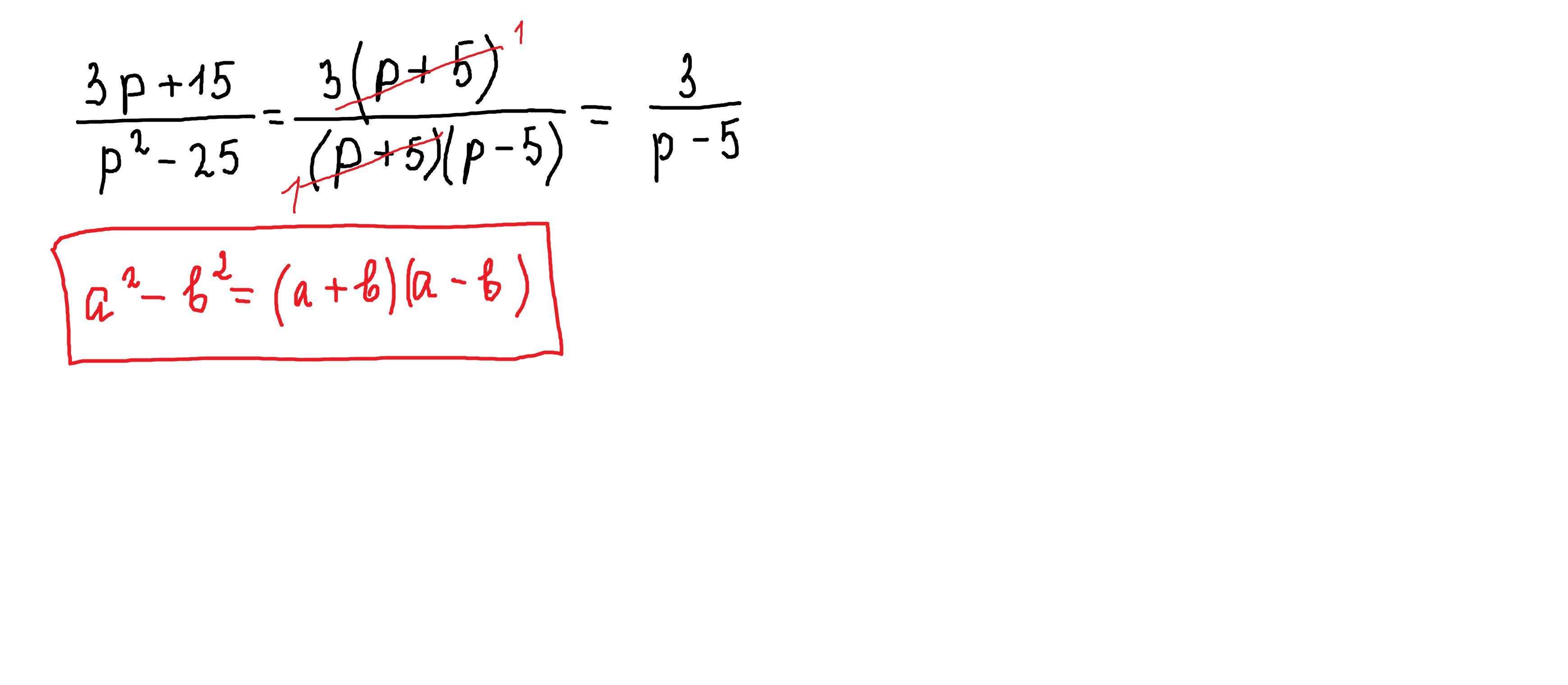
Скоротіть дріб 3р+15 риска дробу р2-25

Приложения:

Ответы

Ответ дал: parus77
1

Ответ:

Объяснение:

решение внизу,формула по которой раскладываем знаменатель там же.

Приложения:
Вас заинтересует