• Предмет: Алгебра
  • Автор: zheniakarpenko755
  • Вопрос задан 3 года назад

Допоможыть Будь ласка даю 75 балов

Приложения:

Ответы

Ответ дал: parus77
1

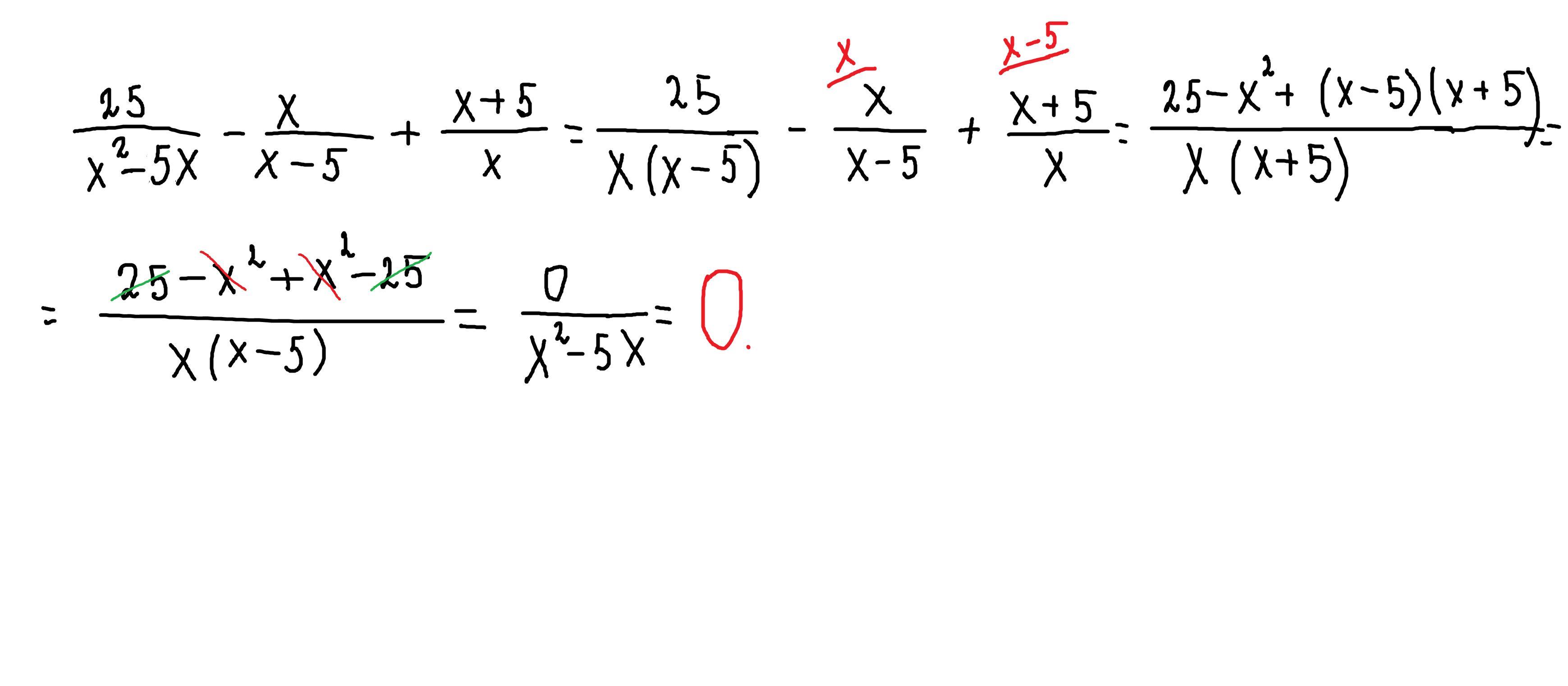
Ответ:

0

Объяснение:

решение внизу

Приложения:

zheniakarpenko755: спасибо
Вас заинтересует