Ответы
Ответ дал:
0
Ответ:
Пошаговое объяснение:
Приложения:

Ответ дал:
0
Ответ:
Пошаговое объяснение:
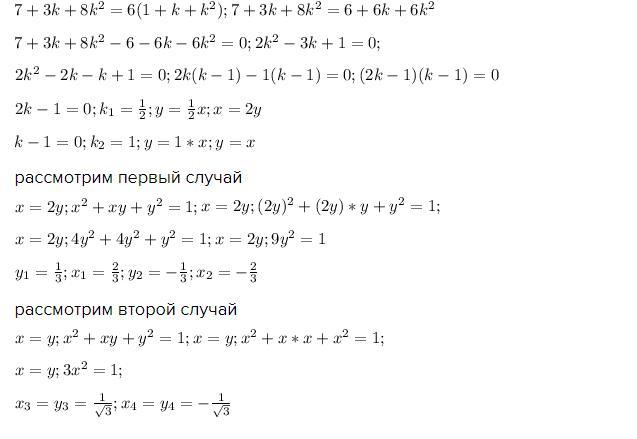
пусть , тогда
разделим левую часть на левую, правую на правую (х=0; y=k*0=0 --не решение системы
- потери корней не будет)
или
рассмотрим первый случай
рассмотрим второй случай
Приложения:


Вас заинтересует
2 года назад
2 года назад
7 лет назад
7 лет назад