• Предмет: Математика
  • Автор: bicheroleksandraclg
  • Вопрос задан 3 года назад

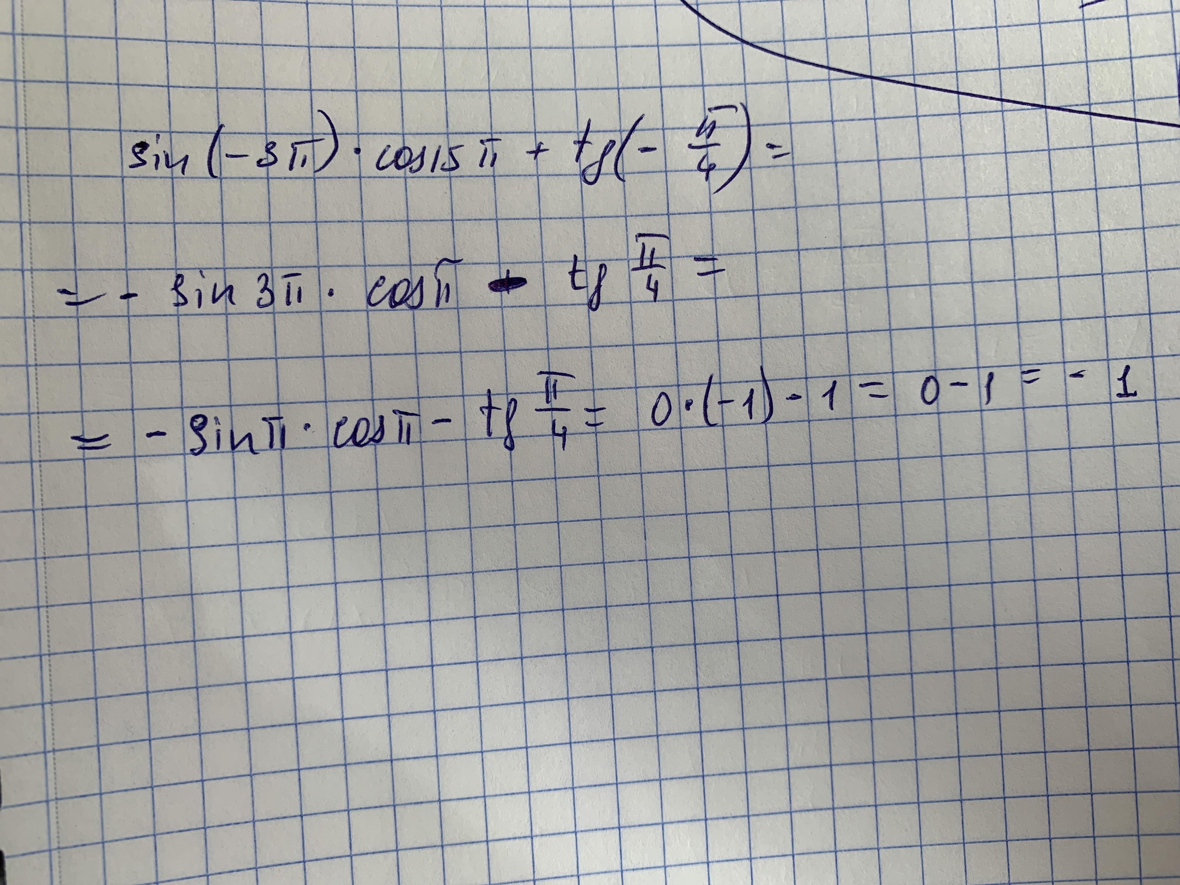
Отчислити sin (-3п)• cos 15п +tg(-п/4)

Ответы

Ответ дал: Emowka184
0

Ответ:

Пошаговое объяснение:

Приложения:
Вас заинтересует