• Предмет: Алгебра
  • Автор: Аноним
  • Вопрос задан 3 года назад

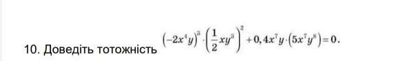
Срочно нужно
сдать помогите​

Приложения:

Ответы

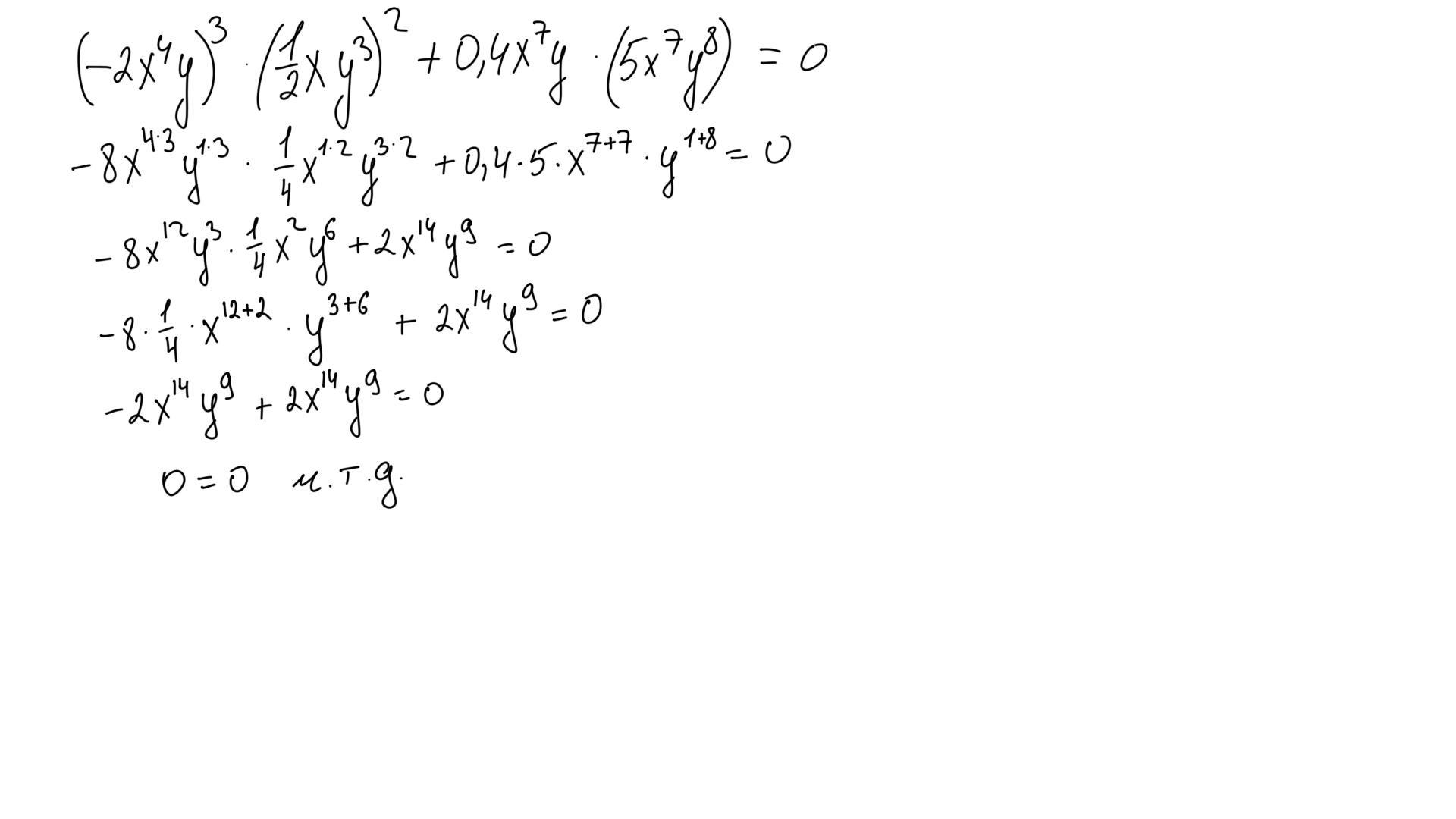
Ответ дал: arsik32
0

Всё на фото.....................

Приложения:
Вас заинтересует