Ответы
Ответ дал:
1
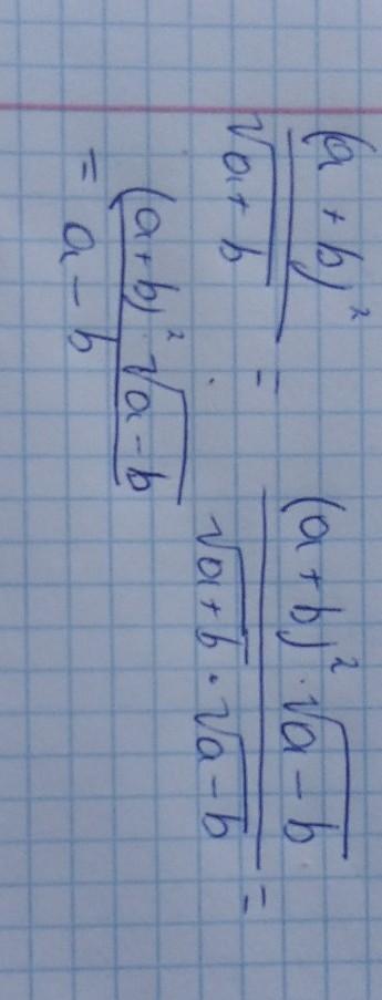
(a+b)корень из a+b
вот ответ
вот ответ
qwsey:
спасибо
Ответ дал:
1
эти
Вот решение, удачи))
Приложения:

Вас заинтересует
2 года назад
2 года назад
2 года назад
2 года назад
7 лет назад
9 лет назад
9 лет назад