Ответы
Ответ дал:
0
Объяснение:
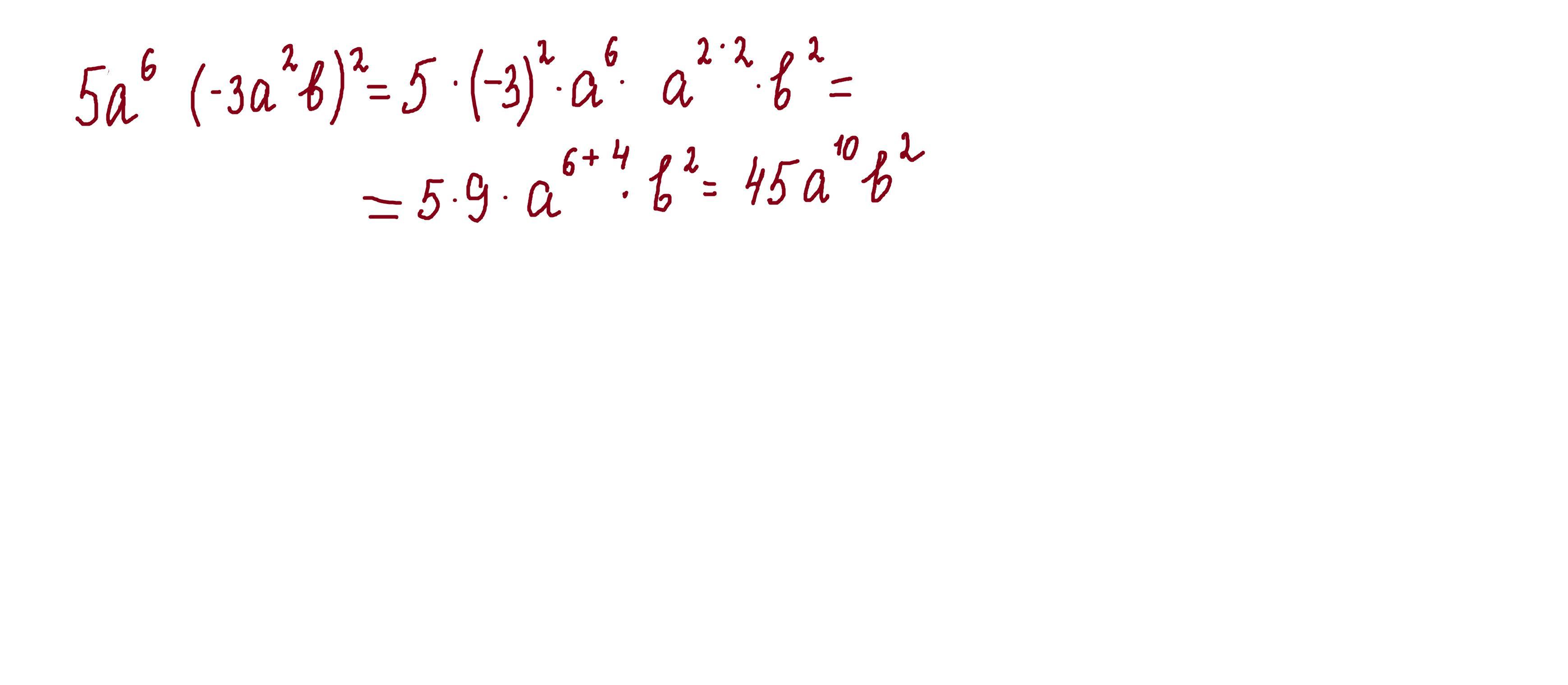
5а⁶(-3а²b)²= 5a⁶9a⁴b²=45a¹⁰b²
Ответ дал:
0
Ответ:
Объяснение:
при возведении степени в степень показатели умножаются,при умножении степеней с одинаковым основанием показатели складываются
Приложения:

Вас заинтересует
2 года назад
2 года назад
7 лет назад
7 лет назад
9 лет назад