• Предмет: Алгебра
  • Автор: SofiaFasenko
  • Вопрос задан 3 года назад

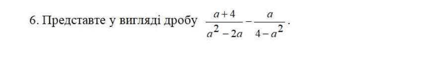
Представте а+4/а²-2а - а/4-а² в виде дроби Пожалуйста очень надо!!!!! даю 15 балов ​

Приложения:

tatsach: Сделайте фото задания

Ответы

Ответ дал: tatsach
1

Ответ:

Объяснение:

........

Приложения:
Вас заинтересует