• Предмет: Алгебра
  • Автор: nastymax08
  • Вопрос задан 3 года назад

Помогите пожалуйста, 5 задание, 2 пример решить !!!​

Приложения:

Ответы

Ответ дал: manyny06
0

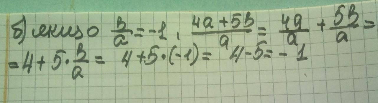
Ответ:

решение смотри на фотографии

Приложения:
Вас заинтересует