• Предмет: Алгебра
  • Автор: kirillvomisina
  • Вопрос задан 3 года назад

даю 40 баллов

пожалуйсто
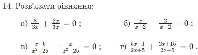
г

Приложения:

Ответы

Ответ дал: yekrymets
1

5(3 + 1x) = 2(3 + 1x)

15 + 5x = 6 + 2x

3x = - 8

X = 3

Приложения:
Вас заинтересует