• Предмет: Математика
  • Автор: tamaraprivitna
  • Вопрос задан 3 года назад

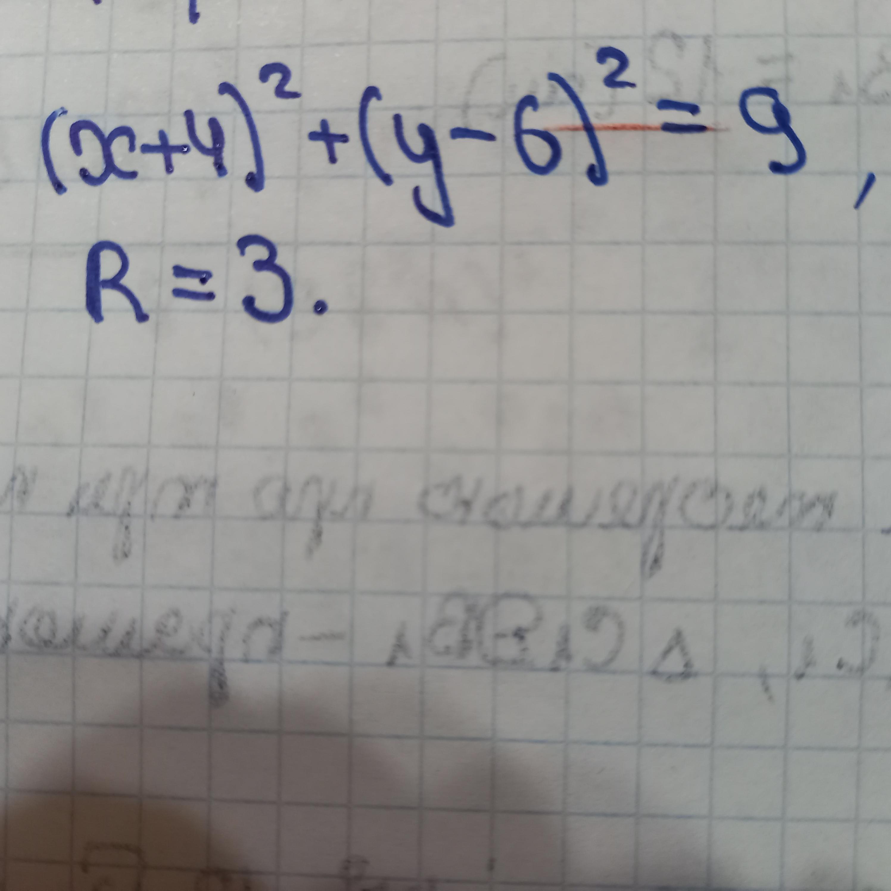
Чому дорівнює радіус кола, заданого рівнянням (x + 4)² + (y - 6)² = 9 ? ​

Ответы

Ответ дал: aarr04594
1

Відповідь: 3

Покрокове пояснення:

Приложения:

tamaraprivitna: дякую
Вас заинтересует