• Предмет: Алгебра
  • Автор: yongpeterman
  • Вопрос задан 3 года назад

Решите 8 задание но с полным объяснением

Приложения:

Ответы

Ответ дал: tarasgyska
0

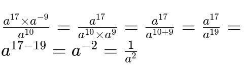
 \frac{ {a}^{17} \times  {a}^{ - 9}  }{ {a}^{1 0} }  =  \frac{ {a}^{17}  }{ {a}^{1 0}  \times  {a}^{9} }  =  \frac{ {a}^{17} }{ {a}^{10 + 9} }  =   \frac{ {a}^{17} }{ {a}^{19} }  =  {a}^{17 - 19}  =  {a}^{ - 2}  =  \frac{1}{ {a}^{2} }

Ответ дал: marinaaaad
1

Ответ:

1/25

Объяснение:

после действий на картинке, вместо а подставляем 5

5²=25

1/а²=1/25

Приложения:
Вас заинтересует