• Предмет: Алгебра
  • Автор: tezikevilina
  • Вопрос задан 3 года назад

помогите пожалуйста срочно надо

Приложения:

Ответы

Ответ дал: ildar502020
0

Ответ:

Объяснение:

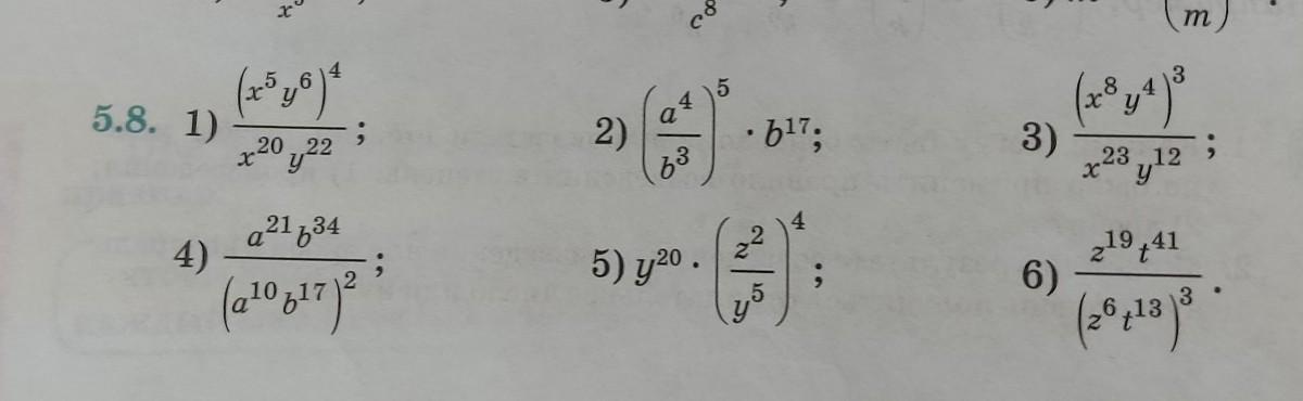
1)  (x⁵y⁶)⁴/(x²⁰y²²) = (x²⁰y²⁴)/(x²⁰y²²) = y²;

2)  (a⁴/b³)⁵*b¹⁷ = (a²⁰/b¹⁵) *b¹⁷ = a²⁰b²;

3)  (x⁸y⁴)³/x²³y¹² = (x²⁴y¹²)/(x²³y¹²)=x;

4)  (a²¹b³⁴)/(a¹⁰b¹⁷)² =  (a²¹b³⁴)/(a²⁰b³⁴) = a;

5)  y²⁰(z²/y⁵)⁴=y²⁰(z⁸/y²⁰)=z⁸;

6)  (z¹⁹t⁴¹)/(z⁶t¹³)³ = (z¹⁹t⁴¹)/(z¹⁸t³⁹) = zt².

Вас заинтересует