• Предмет: Алгебра
  • Автор: tvoaKroshka
  • Вопрос задан 3 года назад

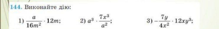
помогите пожалуйста!
(прошу максимально расписать примеры, заранее большое спасибо!)

Приложения:

Ответы

Ответ дал: sassssshkaaaaa88
1

Ответ: вот ваше решение ♡

Приложения:
Вас заинтересует